Theme: Biocatalysis and Biotransformations
Lead: Nick Turner
Phase: 1

Enzyme Activity by Design: An Artificial Rhodium Hydroformylase for Linear Aldehydes
Authors (7): A. G. Jarvis, L. Obrecht, P. J. Deuss, et.al Publisher: Angewandte Chemie International Edition DOI: 10.1002/anie.201705753 article-journal Themes: Biocatalysis, Design, Energy, BAG
Authors (7): A. G. Jarvis, L. Obrecht, P. J. Deuss, et.al Publisher: Angewandte Chemie International Edition DOI: 10.1002/anie.201705753 article-journal Themes: Biocatalysis, Design, Energy, BAG
10.1002/anie.201705753

Optimising Terpene Synthesis with Flow Biocatalysis
Authors (3): X. Tang, R. K. Allemann, T. Wirth Publisher: European Journal of Organic Chemistry DOI: 10.1002/ejoc.201601388 article-journal Themes: Biocatalysis
Authors (3): X. Tang, R. K. Allemann, T. Wirth Publisher: European Journal of Organic Chemistry DOI: 10.1002/ejoc.201601388 article-journal Themes: Biocatalysis
10.1002/ejoc.201601388

An Efficient Chemoenzymatic Synthesis of Dihydroartemisinic Aldehyde
Authors (5): M. Demiray, X. Tang, T. Wirth, et.al Publisher: Angewandte Chemie International Edition DOI: 10.1002/anie.201609557 article-journal Themes: Biocatalysis
Authors (5): M. Demiray, X. Tang, T. Wirth, et.al Publisher: Angewandte Chemie International Edition DOI: 10.1002/anie.201609557 article-journal Themes: Biocatalysis
10.1002/anie.201609557
Rapid Estimation of Catalytic Efficiency by Cumulative Atomic Multipole Moments: Application to Ketosteroid Isomerase Mutants
Authors (4): W. Beker, M. W. van der Kamp, A. J. Mulholland, et.al Publisher: Journal of Chemical Theory and Computation DOI: 10.1021/acs.jctc.6b01131 article-journal Themes: Biocatalysis
Authors (4): W. Beker, M. W. van der Kamp, A. J. Mulholland, et.al Publisher: Journal of Chemical Theory and Computation DOI: 10.1021/acs.jctc.6b01131 article-journal Themes: Biocatalysis
10.1021/acs.jctc.6b01131

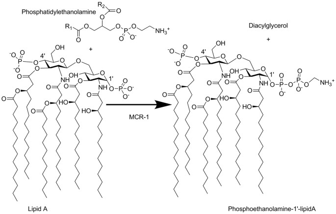
Insights into the Mechanistic Basis of Plasmid-Mediated Colistin Resistance from Crystal Structures of the Catalytic Domain of MCR-1
Authors (21): P. Hinchliffe, Q. E. Yang, E. Portal, et.al Publisher: Scientific Reports DOI: 10.1038/srep39392 article-journal Themes: Biocatalysis
Authors (21): P. Hinchliffe, Q. E. Yang, E. Portal, et.al Publisher: Scientific Reports DOI: 10.1038/srep39392 article-journal Themes: Biocatalysis
10.1038/srep39392
A ruthenium(ii) bis(phosphinophosphinine) complex as a precatalyst for transfer-hydrogenation and hydrogen-borrowing reactions
Authors (4): R. J. Newland, M. F. Wyatt, R. L. Wingad, et.al Publisher: Dalton Transactions DOI: 10.1039/c7dt01022b article-journal Themes: Biocatalysis, Environment
Authors (4): R. J. Newland, M. F. Wyatt, R. L. Wingad, et.al Publisher: Dalton Transactions DOI: 10.1039/c7dt01022b article-journal Themes: Biocatalysis, Environment
10.1039/c7dt01022b

Understanding the Role of Designed Solid Acid Sites in the Low-Temperature Production of ϵ-Caprolactam
Authors (8): M. E. Potter, S. Chapman, A. J. O'Malley, et.al Publisher: ChemCatChem DOI: 10.1002/cctc.201700516 article-journal Themes: Design, Biocatalysis
Authors (8): M. E. Potter, S. Chapman, A. J. O'Malley, et.al Publisher: ChemCatChem DOI: 10.1002/cctc.201700516 article-journal Themes: Design, Biocatalysis
10.1002/cctc.201700516

Deactivation study of the hydrodeoxygenation of p -methylguaiacol over silica supported rhodium and platinum catalysts
Authors (7): F. P. Bouxin, X. Zhang, I. N. Kings, et.al Publisher: Applied Catalysis A: General DOI: 10.1016/j.apcata.2017.03.039 article-journal Themes: Energy, Biocatalysis
Authors (7): F. P. Bouxin, X. Zhang, I. N. Kings, et.al Publisher: Applied Catalysis A: General DOI: 10.1016/j.apcata.2017.03.039 article-journal Themes: Energy, Biocatalysis
10.1016/j.apcata.2017.03.039
Rewiring the “Push-Pull” Catalytic Machinery of a Heme Enzyme Using an Expanded Genetic Code
Authors (12): M. Ortmayer, K. Fisher, J. Basran, et.al Publisher: ACS Catalysis DOI: 10.1021/acscatal.9b05129 article-journal Themes: Biocatalysis
Authors (12): M. Ortmayer, K. Fisher, J. Basran, et.al Publisher: ACS Catalysis DOI: 10.1021/acscatal.9b05129 article-journal Themes: Biocatalysis
10.1021/acscatal.9b05129
Asymmetric synthesis of primary amines catalyzed by thermotolerant fungal reductive aminases
Authors (9): J. Mangas-Sanchez, M. Sharma, S. C. Cosgrove, et.al Publisher: Chemical Science DOI: 10.1039/d0sc02253e article-journal Themes: Biocatalysis
Authors (9): J. Mangas-Sanchez, M. Sharma, S. C. Cosgrove, et.al Publisher: Chemical Science DOI: 10.1039/d0sc02253e article-journal Themes: Biocatalysis
10.1039/d0sc02253e
Back